氷のような乱れによって電子のスピンが 低い温度でも揺らいでいる状態を発見
- 電子スピンがもつれながら揺らぐ機構の解明に期待 -
大阪大学
理化学研究所
高エネルギー加速器研究機構
J-PARCセンター
研究成果のポイント
✣ 原子の並びが氷のように乱れている物質で、電子のスピンが極めて低い温度になっても揺らいでいる状態を発見しました
✣ 低い温度まで電子のスピンが揺らいでいる状態を保つためには、原子が乱れなく整列していることが必要だと考えられてきましたが、原子の位置や種類に乱れがあっても、電子のスピンが揺らいでいることを実証しました
✣ 温度が下がると物質が凍りつくことはよく知られています。しかし、極めて低い温度でも電子のスピンが揺らいでいる特異な状態があるのではないか?と考えられ、探索されてきました。温度が下がると、物質はなぜ凍りつくのか、そして状況によっては、なぜ凍りつかなくなるのかという根本的な問いに対する理解が深まることが期待されます
概要
大阪大学大学院理学研究科の花咲徳亮教授らの研究グループは、原子の並びが氷のように乱れた物質において、極めて低い温度になっても電子の量子スピン※1が揺らいでいる状態を世界で初めて明らかにしました。
世の中の物質は、温度が下がると結晶化することがよく知られています。これは、原子間や分子間にはたらく相互作用のエネルギーが低くなるように、原子や分子が整列するためであり、熱力学第3法則※2の帰結とも言えます。しかし、水が凝固した氷では、H2O分子の位置が完全に定まっているわけではありません。H2O分子の向きを変えてもエネルギーが変わらない状態が数多く存在するため、氷は固体であっても、分子の向きが揺らいでいる特異な状態なのです。このように、物質中における全ての相互作用のエネルギーを同時に低くすることができないためにエネルギーの低い状態が数多く存在することをフラストレーション※3と呼びます。
物質中の各原子には電子が存在します。例えば図1(a)のように、電子の量子スピンが三角形の頂点にあり、電子スピンを互いに逆向きに向かせようとする相互作用があると、右下の3つ目の電子スピンは上向きであっても下向きであっても相互作用エネルギーを低くすることはできません。このようなフラストレーションがあると、極めて低い温度まで電子スピンが揺らいでいるのか、それとも電子スピンが凍りついてしまうのかは、長年の謎でした。また、電子スピンが低い温度でも揺らいだ状態になるには、フラストレーションとともに、原子が乱れなく整列していることも必要条件だとこれまで考えられてきました。
今回、研究グループは、マグネシウムとチタンを含むスピネル型酸化物※4と呼ばれる物質において、チタン原子の位置が氷のように乱れているときに、電子のスピンが極めて低い温度まで揺らいでいる状態(ランダム・シングレット状態※5)が生じることを突き止めました。この状態では、図1(b)のように、孤立した電子スピンが物質中をさまよい、電子スピンの対が揺らいだりしています。この発見から、原子の配置や種類に乱れがあっても、電子スピンが極めて低い温度まで揺らいでいることが明らかになりました。原子の並びの乱れが電子スピンの揺らぎに重要な役割を果たしていることを示しています。これにより、量子スピンがもつれながら揺らいでいる状態を安定化させるメカニズムの解明が進むとともに、低い温度で物質がなぜ凍りつく、あるいは凍りつかなくなるのかという根本的な問いに対する理解が深まると期待されます。
本研究成果は、米国科学誌「PNAS (Proceedings of the National Academy of Science of the United States of America)」に、12月31日(水)(日本時間)に公開されました。
図1 (a) 三角形の格子における電子スピンのフラストレーションの例。図中の矢印はスピンを表している。(b)スピンが揺らいでいる概念図。 孤立スピン (赤矢印) がさまよい、電子の対 (赤い楕円) も揺らいでいる様子。格子を少し歪ませて書いています。
花咲教授のコメント
極めて低い温度まで電子スピンが揺らいだ状態になるには、原子の並び方に乱れがないことが必要だと、これまで考えられてきました。本研究では、従来の常識とは異なり、原子の並びを乱すことによって、極めて低い温度まで電子スピンが揺らいでいる状態を観測することができました。発見した当時、得られた結果が当時の常識とはかけ離れたものだったので、なかなか理解してもらえませんでした。
研究の背景
電子スピンが、図1(a)のように三角形の頂点にあり、互いに逆向きに向けさせようとする相互作用がはたらくとき、右下の3つ目の電子スピンは、上向きであっても下向きであっても、すべての相互作用エネルギーを最小化することができません。このような状況はフラストレーションと呼ばれます。
上記の三角形のようにフラストレーションをもたらす格子では、電子の量子スピンが極低温まで揺らいでいる特異な状態が生じるのか、長年、精力的に調べられてきました。このような特異な状態が生じるには、原子が乱れなく整列していることが必要なのか、それとも原子の位置や種類の乱れは量子スピンが揺らいでいる状態を安定化させるのか、よく分かっていませんでした。
研究の内容
研究グループでは、比熱測定※6、核磁気共鳴測定※7、ミュオン・スピン緩和測定※8、中性子PDF解析※9といった4つの実験法を用いることによって、スピネル型チタン酸化物で、チタン原子の並びが氷のように乱れているとき、電子の量子スピンが極低温まで揺らいでいる特異な状態(ランダム・シングレット状態)であることを実証しました。
この状態では、図1(b)のように、孤立した電子スピンがさまよっていたり、2つの電子スピンが非磁性の対を作り、この電子対も揺らいでいることが理論的に予想されていました。後者の電子対の揺らぎは、ベンゼン環の二重結合が共鳴的に揺らいでいる状態(ケクレ構造の共鳴状態)を思い出してもらえば分かりやすいかもしれません。
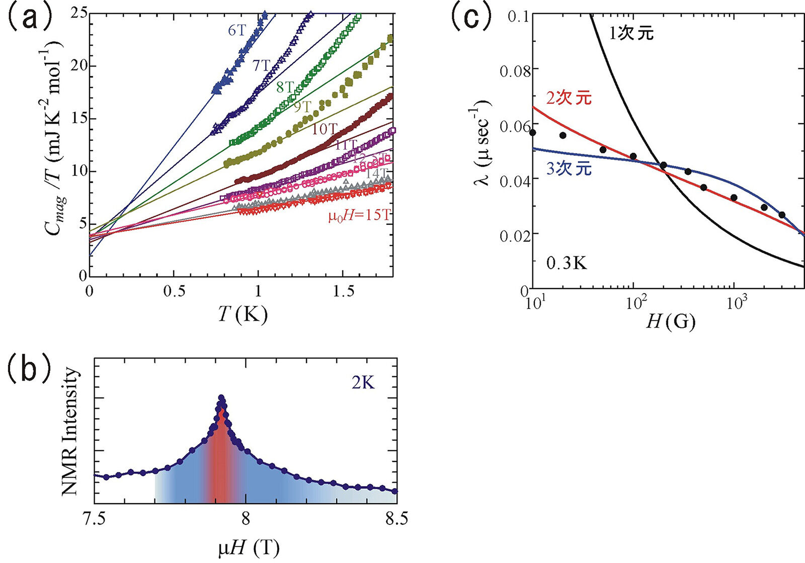
まず、電子のスピンが極低温まで凍りついていないのかを調べるため、比熱測定を行いました。図2(a)に示した通り、温度が絶対零度に近づいても、比熱を温度で割った値はゼロに近づいていないことが分かります。これは、電子状態を励起するのに有限の熱エネルギーを必要としないこと、すなわち、極低温でも電子スピンが数多くのさまざまな状態を取りうることを示しています。
次に、スピン状態を微視的に調べるために、核磁気共鳴(NMR)測定を行いました。NMRのスペクトルを図2(b)に示しますが、赤色の領域は鋭いピークを示しています。これは多くの電子が非磁性の対を作っていることを示しています。また、ピークの両サイドに広い裾(青色の領域)が見られますが、これは、(内部)磁場を発生している孤立した電子スピンがあることを示しています。
さらに、この孤立電子スピンのダイナミクスを調べるために、ミュオン・スピン緩和(μSR)の測定を行いました。図2(c)に示した通り、孤立スピンが2次元的に動いている場合を仮定したシミュレーション(赤線)で実験結果を説明することができ、孤立スピンが揺らいでいる時間スケールがナノ秒程度であることも分かりました。このように実験で得られた結果は、理論的に予想されていたランダム・シングレット状態の性質と一致するものでした。
そして、このランダム・シングレット状態が現れるのは、中性子PDF解析から、チタン原子の並びが氷のように乱れている時だけであることが分かりました。電子スピンの量子性、フラストレーション、物質の構造的乱れという3つの条件がそろうと、極めて低い温度でも電子スピンは凍りつかず揺らいでいるのです。
| 図2 スピネル型酸化物Mg1.25Ti1.75O4で得られた実験結果 (a)電子比熱Cmagの温度(T)による変化 (b)47,49Tiの核磁気共鳴(NMR)のスペクトル。μHは磁束密度 (c)ミュオン・スピンの緩和率(λ)の磁場(H)による変化 |
本研究成果が社会に与える影響(本研究成果の意義)
本研究成果により、量子スピンが揺らいでいる状態を安定化させるメカニズムの解明が進み、低温で物質がなぜ凍りつくのか、また状況によっては、なぜ凍りつかなくなるのかという根本的な問いに対する理解が深まると期待されます。このように数多くの量子スピンがもつれながら揺らいでいる状態が安定化するメカニズムに関する知見は、量子コンピュータなどに応用される可能性も期待されます。
特記事項
本研究成果は、2025年12月31日(水)(日本時間)に米国科学誌「PNAS (Proceedings of the National Academy of Science of the United States of America) 」(オンライン)に掲載されました。
| タイトル | "Frustrated random-singlet state with ice-type structural fluctuation in spinel titanates" |
|---|---|
| 著者名 | N.Hanasaki*, T.Hattori, T.Komoda, K.Minamoto, S.Torigoe, S.Yamashita, Y. Nakazawa, T.Nakano, K.Yoshimi, M.Yashima, H.Mukuda, U.Widyaiswari, I.Watanabe, A.Koda, T.Honda, T. Otomo, H.Sagayama, K.Kodama, H.Murakawa, and H.Sakai *:責任著者 |
| DOIhttps://doi.org/10.1073/pnas.2517926123 |
なお、本研究は、JSPS科研費(24H01622,23H04862,25K08255)の研究の一環として行われ、RAL-ISIS、KEK-PF BL 8B、J-PARC MLF MUSE S1、BL 21 NOVA、大阪大学大学院理学研究科 熱・エントロピー科学研究センターなどの施設を用いて行われました。大阪大学大学院理学研究科 山下智史助教、中澤康浩教授、村川寛助教、大阪大学大学院基礎工学研究科 椋田秀和准教授、八島光晴助教、茨城大学大学院理工学研究科 中野岳仁准教授、理化学研究所 仁科加速器科学研究センター 渡邊功雄 上級研究員、高エネルギー加速器研究機構 物質構造科学研究所 幸田章宏教授、本田孝志助教、大友季哉教授、佐賀山基准教授、日本原子力研究開発機構 物質科学研究センター 樹神克明研究主幹、東北大学 金属材料研究所 酒井英明教授(研究当時は大阪大学大学院理学研究科)の協力を得て行われました。なお、住友財団と大阪大学先導的学際研究機構 スピン学際研究部門の支援も受けています。
用語説明
※1 電子の量子スピン
電子はスピンと呼ばれる角運動量を持ちます。量子スピンは角運動量の大きさが最も小さい状態です。古典的に自転運動にたとえられる事も多いですが、正確には、量子力学によって理解される電子の性質です。
※2 熱力学第3法則
物質は様々な状態になりえますが、そのミクロな状態の数はエントロピーという量で表されます。エントロピーは系の乱雑さの度合いであるとも言われます。熱力学第3法則は、通常、物質には最も低いエネルギーを持つ基底状態が唯一存在し、絶対零度になっていく過程で、その基底状態に近づきエントロピーもゼロになっていくことを示唆しています。ただし、乱れがあったり秩序が生じなかったりする場合は、その限りではありません。この法則は、ノーベル賞物理学者のウォルター・ネルンストらによって見出されました。
※3 フラストレーション
気体分子を冷却すると、液体の状態を経て、固体の結晶になっていく事がよく知られています。高温で分子の位置が乱れていても、温度を下げると、分子間の引力的な相互作用エネルギーが低くなるように、分子は規則的な安定配置を取る傾向にあります。しかし、分子間の全ての相互作用エネルギーを同時に低くできない状況では、温度を下げても分子は安定な状態を取ることができず、揺らいだ状態になります。このように分子間の全ての相互作用のエネルギーを同時に小さくすることができず、エネルギーが低い状態が数多く存在することをフラストレーションと呼びます。ノーベル賞化学者のライナス・ポーリングらによって指摘されましたが、分子に限らず、原子や電子などあらゆるものに共通した概念です。男女の三角関係にたとえて考えると分かりやすいかもしれません。なお、電子スピン間の相互作用にフラストレーションをもたらすような格子の事を、フラストレート格子と呼びます。イタリアのジョルジオ・パリージはこの分野の研究で2021年のノーベル物理学賞を受賞しています。
※4 スピネル型酸化物
化学式がAB2O4で表される物質で、Aにはアルカリ土類金属原子、Bには遷移金属原子が入る傾向があります。竹で編まれた籠目状の格子(図1(b)の灰色の破線)はよく知られていますが、スピネル型酸化物におけるBの原子が作る格子は、籠目状の格子が3次元的に組まれた格子(パイロクロア格子)になっており、このパイロクロア格子もフラストレート格子のひとつです。なお、氷において隣接した酸素原子の間の中点で結んだ格子もパイロクロア格子になっており、氷の構造とも共通する点があります。
※5 ランダム・シングレット状態
物質内の原子がフラストレート格子を組み、各原子にある量子スピンの間に、スピンの向きを互いに逆に向けさせようとする相互作用(反強磁性的相互作用)があると、低温になっても安定なスピン秩序を形成することができず、スピンがいつまでも揺らいでいる状態が期待されます。特に、フラストレート格子を組む物質において、原子の位置や種類に乱れがあると、ランダム・シングレット状態が生じることが期待されます。この状態では、隣接する量子スピンが非磁性の電子対を作り、他の電子対と共鳴を起こしたり、孤立したスピンが物質中をさまよったりしている状態が理論的に予想されていました。この状態は大阪大学大学院理学研究科の川村光名誉教授によって提案されました。
※6 比熱測定
物質の温度を上げるに必要な熱量を調べる測定です。この比熱測定によってエントロピーが温度でどのように変化するか分かり、物質が持つ内部自由度に関する情報が得られます。本研究では、スピンが極低温まで凍りつかず、スピンが揺らげるだけの自由度を保持している事を比熱測定によって明らかにしました。
※7 核磁気共鳴測定
電子だけでなく、原子核もスピンを持っています。磁場をかけると、磁場と同じ向きの原子核スピンと、逆向きの原子核スピンの間に、エネルギーに差が生じます。このエネルギー差に相当する電磁波を物質に加えることで、原子核のスピンが感じているミクロな(内部)磁場の情報を得ることができます。本研究では、物質中で電子が非磁性の対を作っていることや、孤立スピンが存在していることを明らかにするのに用いられました。なお、病院で用いられるMRI(磁気共鳴画像法)も、この核磁気共鳴測定と同じ原理に基づいています。
※8 ミュオン・スピン緩和測定
ミュオンは、素粒子物理学の標準模型で"第二世代の電子"に相当する粒子です。その質量が電子より200倍ほど重いのですが、電子と同様に、スピンと電荷を持ちます。正電荷のミュオンが物質に入射されると、物質内部で生じている(内部)磁場によってミュオン・スピンがその向きを変えるため、物質中の(内部)磁場の分布や揺らぎを調べることができます。国内では、大強度陽子加速器施設(J-PARC)と大阪大学核物理研究センターで実験を行うことができます。本研究では、物質中で孤立した電子スピンが作る(内部)磁場の揺らぎを測定しました。
※9 中性子PDF解析
中性子は、陽子とともに原子核を形作る粒子です。中性子を結晶に入射すると、中性子が結晶中の原子によって散乱されて、この散乱波が特定の方向で強めあう現象が起きます。これは中性子回折と呼ばれますが、この回折波をフーリエ変換することで、結晶中における2つの原子間の相対位置に関する情報(原子対相関関数、PDF)が得られます。この実験法は、原子が乱れなく並んでいる結晶だけでなく、原子の並びに乱れがある物質でも適用することができます。本研究では、チタン原子の並びが氷のように乱れていることを調べるのに用いられました。国内では、J-PARCで実験を行うことができます。
SDGs
![]()
参考URL
花咲 徳亮 教授
研究者総覧URL https://rd.iai.osaka-u.ac.jp/ja/ 60bc080048f7bf54.html
